About Himani

Learn . Build . Innovate

Subscribe & Follow

Blogs

The Art of Doing Less: A Practical Guide to Sparse Modeling and Estimation

In the era of “Big Data,” we often face an ironic problem: we have too much data, but specifically, too many dimensions. Imagine you are trying to predict a patient’s health outcome. You might have genetic markers, historical records, demographic info, and wearable device data, totaling thousands of potential features. However, you might only have a few hundred actual patient records.

BARD vs ChatGPT

ChatGPT. Developed by OpenAI, ChatGPT is a state-of-the-art language model based on the GPT-3.5 architecture, designed to generate human-like responses and engage in natural, interactive conversations. With its ability to understand and produce text in a contextually relevant manner, ChatGPT is transforming the way we interact with AI systems.

Brief on Logistic Regression using Python step by step

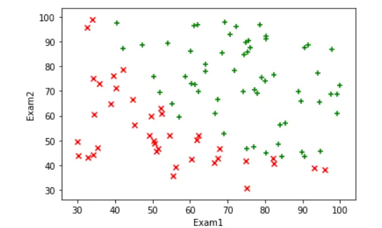
Before we start with Logistic Regression I think we should know supervised learning and classification problems. Supervised Learning is the type of machine learning in which we are using labeled data as an input to the machine and then get output from the machine. For example, a teacher teaches the students about alphabets like A, B, C, etc. and then ask students what was that alphabet then students replied as A, B, C, etc.